土石流及大規模崩塌防災資訊網
*
富南部落
(81T760) 雨量組體圖
隸屬:農村水保署
說明
雨場分割ETR1:係指同一雨場,自降雨開始至目前之累積雨量(不作任何拆減);且雨場分別之標準係以 6 小時內總雨量小於 4mm 時作為雨場結束點。
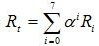
前期降雨ETR2:即有效累積雨量,其計算方式如下:
(R
0
為該時刻之前0-24小時之累積雨量,R
1
為該時刻之前25-48小時之累積雨量,其餘以此類推;α 為加權係數α = α0.7)