跳到主要內容

土石流及大規模崩塌防災資訊網logo圖片 土石流及大規模崩塌防災資訊網名稱圖片
土石流及大規模崩塌防災資訊網
切換至舊版

災害潛勢

·

劃定方式

大規模崩塌潛勢區調查及評估
大規模崩塌潛勢區調查
大規模崩塌的發生,有其特殊的地形與地質,因此由坡地之地形與地質之調查分析,可推測出有潛勢的區域。除較特殊的地質或地形條件(如順向坡)外,大規模崩塌的滑動面不會突然形成,而是經過長時期的孕育、演化才發生的。滑動面發育過程中,會在地表留下崩塌微地形徵兆,因此如果有良好的工具(如高精度數值地形),並經詳細的現地查核,具崩塌潛勢的地點是可以判別出來的。
由於臺灣山區林木茂密,並不容易直接判釋崩塌造成之裂縫及地表特徵,因此可利用高精度數值地形資料產製日照陰影圖及坡度圖,來瞭解植被底下之地表面特徵,觀察是否具有冠部、陷落區和隆起區(圖2-1)
大規模崩塌潛勢區地表特徵圖
圖示:圖2-1 大規模崩塌潛勢區地表特徵
大規模崩塌歷年調查沿革
自2009年莫拉克颱風後,為避免小林村大規模崩塌災害再次發生,相關機關進行大規模崩塌潛勢區微地形特徵之判釋,共圈繪出9,948處具有大規模崩塌發生潛勢之地區。考量致災之規模,農業部農村發展及水土保持署進一步針對中高風險且具有保全住戶之315處作為計畫執行範圍。除分析上述地區之發生度與保全度外,並運用合成孔徑雷達影像之干涉分析(InSAR)評估其活動度,進而篩選出103處風險較高之大規模崩塌潛勢區列為氣候變遷下大規模崩塌防減災計畫第2期績效指標。
大規模崩塌風險潛勢等級評估
大規模崩塌潛勢區潛勢評估方法,係由「危害度(H)」及「脆弱度(V)」兩項評估因子進行綜合評定。其中,「危害度(H)」使用「大規模崩塌潛勢區危害度評估因子分級」,「脆弱度(V)」則使用「大規模崩塌潛勢區脆弱度評估因子分級表」,分別進行評分與分級後,再採用風險等級(分數)評估表,綜合評估風險潛勢等級。
風險潛勢等級(分數)評估表
圖示:風險潛勢等級(分數)評估表
危害度評分與分級
大規模崩塌危害度評估流程,主要包括使用資料蒐集選定、因子處理分級(如坡度、地質構造線距離、河道距離、順向坡地形特性及活動度等)、因子權重評分及危害度分級,依評分結果分為高、中及低。
脆弱度評分與分級
在脆弱度評估方面,須考量在大規模崩塌可能影響範圍內的所有重要保全對象,如住戶、交通(含鐵公路及橋梁)、重要公共設施等,將大規模崩塌潛勢區脆弱度評分進行加總後,依評分結果分為高、中及低。
大規模崩塌影響範圍劃設
大規模崩塌潛勢區影響範圍劃設作業主要目的,為提供各級政府及民眾,進行大規模崩塌防減災相關工作之作業流程與方法,因此以最保守原則,進行劃設範圍之調查、模擬與評估。作業流程與方法包含大規模崩塌潛勢區「新增及調整申請」、「現地調查」、「潛勢評估」及「資料審查」等四項工作之作業流程與方法。
新增及調整作業
  • 新增作業
  • 調整作業
現地調查作業
  • 基礎資料準備
  • 現地細部調查作業
  • 圖資編修
潛勢評估作業
  • 危害度評估
  • 脆弱度評估
  • 潛勢等級評估
資料審查作業
  • 說明會辦理
  • 審查會辦理
大規模崩塌潛勢區影響範圍劃設作業流程圖
利用大規模崩塌潛勢區規模與地形資料進行影響範圍初步劃設,包含「可能致災類型判別」及「影響範圍初步劃設」兩項工作。「可能致災類型判別」:係根據大規模崩塌潛勢區之規模與位置,進行大規模崩塌可能致災類型之分類與判別,結果可分為(1)重力堆積型;(2)土石流型;(3)堰塞湖型。「影響範圍初步劃設」:係利用可能致災類型分析成果,採用對應之計算公式進行影響範圍參考尺寸之計算,再依據地形進行微調。
  • 1.重力堆積型劃設方法
    針對重力堆積型之影響範圍劃設,應參考可能滑動距離Lrunout並劃設可能堆積寬度WMax進行劃設,計算流程如圖2-3所示。
    重力堆積型影響範圍劃設作業流程圖
    圖示:圖2-3 重力堆積型影響範圍劃設作業流程圖
    • 可能滑動距離Lrunout: 崩塌可能滑動距離可透過等價摩擦係數求之。
      式中H為坡頂高程差(m)V為大規模崩塌潛勢區體積(m3)(AL)為大規模崩塌潛勢區面積(m2)
    • 可能堆積寬度WMax: 根據崩塌地寬度WL與堆積寬度WMax求之。 WMax = 1.5 ~ 2W L,因應防災需求,建議可能堆積寬度為兩倍崩塌地寬度劃之,WMax = 2W L
  • 2.土石流型劃設方法
    土石流型之影響範圍劃設係參考農業部農村發展及水土保持署現行土石流潛勢溪流影響範圍劃設方法,主要依谷口及(或)溢流點位置與扇狀地角度進行劃設,扇狀地半徑長度則以池谷浩公式進行計算,惟公式內可能流出土砂量應同時考慮集水區流出量及大規模崩塌潛勢區之可能土砂量,另需考慮潛勢區至堆積扇間河道範圍(圖2-4)。
    土石流型影響範圍劃設作業流程圖
    圖示:圖2-4 土石流型影響範圍劃設作業流程圖
    • 土石流堆積扇長度L:扇狀地之半徑長度可由池谷浩公式計算。
      log⁡(L) = 0.42×log⁡(V×tan⁡ θd) + 0.935 式中L為土石流堆積扇長度 (m)V為土砂流出體積 (m3)θd為堆積扇之坡度(°)。
    • 土砂流出體積可由下列方法取較大值進行計算。

      集水區最大土砂流出量:
      ,其中AW為集水區面積(km2)

      崩塌土方量:
      ,其中AL為大規模崩塌潛勢區面積m2

  • 3.堰塞湖型劃設方法
    堰塞湖之劃設需在堰塞湖可能形成條件下進行,當土體條件達到堰塞湖形成條件時,方可判定堰塞湖形成。天然壩之堆積範圍可由壩體堆積形狀進行評估(圖2-5)。
    堰塞湖型影響範圍劃設作業流程圖
    圖示:圖2-5 堰塞湖型影響範圍劃設作業流程圖
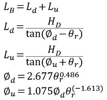
    • 透過計算得知天然壩下游堆積面長度Ld 以及天然壩上游堆積面長度Lu, 兩者相加即為天然壩堆積長度LB,其計算公式如下:

    式中LB為天然壩堆積長度(m)Ld為天然壩下游堆積面長度(m)Lu為天然壩上游堆積面長度(m)HD為堰塞湖天然壩最小堆積高度(m)d天然壩下游堆積面坡度(°)、 u天然壩上游堆積面坡度(°)、 θr為河谷坡度(°)。

頁面頂端

分享與工具列